一、應用背景
亞硫酸鹽是一類很早在世界范圍內廣泛使用的食品添加劑,可作為食品漂白劑、防腐劑,抑制非酶褐變和酶促褐變,防止食品褐變,使水果不至黑變,還能防止鮮蝦生成黑斑,在酸性介質中,還是十分有效的抗菌劑。亞硫酸鹽包括Na2SO3、K2SO3、NaHSO3、CaSO3、KHSO3、Na2S2O3、Na2S2O5、KHS2O5等。
在制糖業中,糖漿二次硫熏是制糖工業中的傳統工藝,是質量控制的必要控制工藝。按國家標準規定,硫酸鹽(硫磺)在白糖中的殘留量(以 SO2計)不得超過 0.05g/kg。人一天攝入 1g 亞硫酸鹽時不會明顯危害,攝入 4~6g 可造成胃腸障礙,引起劇烈腹瀉,慢性中毒,可引起頭疼、腎臟障礙、紅血球和血紅蛋白減少等癥狀。
所以測定糖中亞硫酸鹽含量很有必要。
二、所需儀器以及試劑
儀器:雷磁ZDJ系列滴定儀(電位滴定)
電極:213鉑電極、232-01甘汞參比電極
試劑:0.01mol/L 碘標準滴定溶液(配制與標定參考文件 M9108-2015)
乙酸鉛(20g/L)
鹽酸(1+1)
鹽酸溶液(1+1)
三、實驗過程
1、取 5g 左右的糖,加入 150mL 純水,置于 500mL 圓底蒸餾瓶,裝上冷凝裝置。冷凝管的下端應該插入裝有 25mL 乙酸鉛(20g/L)吸收液的碘量瓶中。加入 10mL1+1 的鹽酸,立即蓋塞,加熱蒸餾。當蒸餾液約 100mL 時使冷凝管下端離開液面,再蒸餾1 分鐘,用少量水沖洗插入乙酸鉛溶液的裝置部分。轉移至滴定杯中,加入 10mL 濃鹽酸后置于自動滴定儀上。同時做空白試驗。
2、儀器操作
a)將電極架置于滴定杯上方,放置好測量電極、參比電極以及加液管。
b)打開儀器,連接 213 鉑電極至測量電極接口,連接 232-01 甘汞參比電極至參比電極接口。
c)將取液管連接到碘標準滴定溶液中,使用儀器清洗按鍵,清洗三次,清洗液接至廢液杯中。
d)點擊開始方法滴定,選擇等量滴定,設置參數。

e)點擊開始測定,等待儀器自動檢測。
f)分析結束,儀器顯示結論,自動保存圖譜及數據。
g)如不再測定,使用清洗按鍵,輸液管連接純水,清洗三次
h)關閉儀器,將參比電極浸泡至飽和氯化鉀中,測量電極干放。
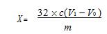
四、計算公式
其中:
X—糖中亞硫酸鹽(以 SO2 計)的數值,單位為克每千克(g/kg);
V1—試樣消耗碘標準滴定溶液體積的數值,單位為毫升(mL);
V0—試劑空白消耗碘標準滴定溶液體積的數值,單位為毫升(mL);
c—碘標準滴定溶液的實際濃度的數值,單位為摩爾每升(mol/L);
m—試樣質量的數值,單位為克(g)。
五、注意事項
1)電極應避免長期浸在蒸餾水、蛋白質溶液和酸性氟化物溶液中。
2)參比電極的填充液為 3mol/L 氯化鉀溶液,填充液可以從電極上端小孔加入,長時間不使用時,塞上加液孔,裝上保護套,防止填充液干涸。
六、依據標準
GB/T 5009.34-2003 食品中亞硫酸鹽的測定
相關閱讀:

