一、應用背景
還原糖是指具有還原性的糖類,能夠還原斐林(H.von Fehling)試劑(本尼迪特試劑)或托倫斯(B.Tollens)試劑。在糖類中,分子中含有游離醛基或酮基的單糖和含有游離醛基的二糖都具有還原性。還原性糖包括葡萄糖、果糖、半乳糖、乳糖、麥芽糖等。
我們采用高錳酸鉀電位滴定法測定蜂蜜中還原糖的含量,操作方便、準確度高,可作為有效測定方法。

依據標準:GB/T 5009.7-2003 食品安全國家標準 食品中還原性糖的測定
二、配套儀器以及試劑
儀器:雷磁ZDJ系列滴定儀(電位滴定)
電極:213鉑電極、232-01甘汞參比電極
試劑:0.5mol/L高錳酸鉀標準滴定溶液(配制與標定參考文件 M9105-2015)
堿性酒石酸銅甲液:稱取34.639g硫酸銅(CuSO4•5H2O),加適量水溶解,加0.5mL硫酸,再加水稀釋至 500mL。
堿性酒石酸銅乙液:稱取34.5g酒石酸鉀鈉與50g氫氧化鈉,加適量水溶解,再加水稀釋至500mL,儲存在橡膠塞玻璃瓶中。
硫酸鐵溶液:稱取50g硫酸鐵,加入200mL水溶解后,慢慢加入100mL硫酸,冷卻后稀釋至1000mL。
三、實驗過程
1、準確稱取樣品1.0g,精密稱定,純水溶解后定容至 1000 mL。移取 10.00 mL 溶解后的試樣,于500mL燒杯中,加入25mL堿性酒石酸銅甲液及25mL乙液,于燒杯上蓋一表面皿,加熱,控制在 4 min 內沸騰,再準確煮沸 2 min,趁熱過濾,并用熱水洗滌燒杯及沉淀,至洗液不呈堿性為止。將磚紅色濾渣放入滴定杯中,加 25 mL 硫酸鐵溶液及25mL水,用玻璃棒攪拌使氧化亞銅完全溶解。置于自動滴定儀上。同時做空白試驗。
2、儀器操作
a)將電極架置于滴定杯上方,放置好測量電極、參比電極以及加液管。
b)打開儀器,連接 213 鉑電極至測量電極接口,連接 232-01 甘汞參比電極至參比電極接口。
c)將取液管連接到高錳酸鉀標準滴定溶液中,使用儀器清洗按鍵,清洗三次,清洗液接至廢液杯中。
d)點擊開始方法滴定,選擇動態滴定,設置參數。
e)點擊開始測定,等待儀器自動檢測。
f)分析結束,儀器顯示結論,自動保存圖譜及數據。
g)如不再測定,使用清洗按鍵,輸液管連接純水,清洗三次
h)關閉儀器,將參比電極浸泡至飽和氯化鉀中,測量電極干放。

四、計算公式
X= 71.54×c(V1-V0)
其中:
X—試樣中還原性糖質量相當于氧化亞銅質量的數值,單位為毫克(mg);
V1—滴定試樣時消耗高錳酸鉀標準滴定溶液體積的數值,單位為毫升(mL);
V0—滴定空白樣時消耗高錳酸鉀標準滴定溶液體積的數值,單位為毫升(mL) ;
c—高錳酸鉀標準滴定溶液實際濃度的數值,單位為摩爾每升(mol/L)。
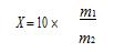
![]()
其中:
X—試樣中還原性糖含量的數值,單位為克每百克(g/100g);
m1—查表所得還原性糖質量的數值,單位為毫克(mg);
m2—試樣質量的數值,單位為克(g)。
五、注意事項
1)電極應避免長期浸在蒸餾水、蛋白質溶液和酸性氟化物溶液中。
2)參比電極的填充液為 3mol/L 氯化鉀溶液,填充液可以從電極上端小孔加入,長時間不使用時,塞上加液孔,裝上保護套,防止填充液干涸。
相關閱讀:

