國標GB1886.235—2016《食品安全國家標準 食品添加劑 檸檬酸》代替GB1987—2007《食品添加劑 檸檬酸》,從2007-1-1開始實施。本標準適用于以淀粉質或糖質原料經發酵制得的食品添加劑檸檬酸。
本文主要介紹國標中關于食品添加劑檸檬酸的檢驗方法。
一、技術要求
首先國標中對檸檬酸的技術要求,分為感官要求和理化指標兩種。
感官要求應符合表 1 的規定。

理化指標應符合表 2 的規定。

二、檢驗方法
1 安全提示
本標準的檢驗方法中使用的部分試劑具有毒性或者腐蝕性, 操作時應采取適當的安全和防護措施。
2 一般規定
本標準除另有規定外, 所用試劑的純度應為分析純, 所用標準滴定溶液、 雜質測定用標準溶液、 制劑及制品, 應按GB/T601、GB/T602、GB/T603的規定制備,試驗用水應符合GB/T6682中三級水的規定。試驗中所用溶液在未注明用何種溶劑配制時, 均指水溶液。
3 鑒別試驗
3. 1 試劑和材料
3. 1. 1 乙醇。
3. 1. 2 乙醚。
3. 1. 3 硫酸溶液:量取硫酸 2 9m L , 緩緩注入約 7 0 0m L 水中,冷卻, 稀釋至1000mL 。
3. 1. 4 硫酸汞溶液:稱取氧化汞5g,加水40mL,緩緩加入硫酸20m L , 邊加邊攪拌, 再加水40mL攪拌使之溶解。
3. 1. 5 高錳酸鉀溶液: c (1/5 KMnO4) =0. 1mol/ L 。
3. 1. 6 氫氧化鈉溶液: 5 0g / L 。
3. 1. 7 吡啶- 乙酸酐溶液: 將吡啶和乙酸酐按 3∶1 體積比混合。
3. 2 分析步驟
3. 2. 1 試樣易溶于水, 溶于乙醇,微溶于乙醚。
3. 2. 2 取適量試樣于 2 5m L 坩堝內, 熾灼,即緩緩分解, 但不得發生焦糖臭。
3. 2. 3 稱取試樣 5 0m g , 用水溶解后稀釋至 1 0m L 。吸取2m L 于 2 5m L 比色管中, 用氫氧化鈉溶液調至中性, 加硫酸溶液 1 滴,加熱至沸, 再加高錳酸鉀溶液 1 滴, 搖勻,紫色即消褪; 再加入硫酸汞溶液1 滴, 產生白色沉淀。
3. 2. 4 稱取試樣 5m g 于 2 5m L 比色管中,加吡啶 - 乙酸酐溶液約 5m L , 振搖, 即生成黃色到紅色或
紫紅色的溶液。
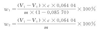
4 檸檬酸含量的測定
4. 1 方法提要
在水介質中, 以酚酞作指示液, 采用氫氧化鈉標準滴定溶液滴定檸檬酸溶液, 根據消耗的氫氧化鈉標準滴定溶液的量計算檸檬酸的含量。
4. 2 試劑和材料
4. 2. 1 氫氧化鈉標準滴定溶液: c ( N a OH ) =0. 5m o l/ L 。
4. 2. 2 酚酞指示液:1 0g / L 。
4. 2. 3 無二氧化碳的水。
4. 3 分析步驟
稱取試樣 1g , 需精確至0.0001g , 使用萬分之一電子天平,置于 1 5 0m L 錐形瓶內,加入無二氧化碳的水 5 0m L 溶解, 加酚酞指示液 3 滴, 用氫氧化鈉標準滴定溶液滴定至粉紅色為終點。同時做空白試驗。
4. 4 結果計算
一水檸檬酸中檸檬酸含量( 以無水檸檬酸計) 的質量分數w 1
無水檸檬酸中檸檬酸含量的質量分數 w 2

式中:V 1— — —試樣滴定所耗氫氧化鈉標準滴定溶液的體積, 單位為毫升(m L ) ;
V 0— — —空白滴定所耗氫氧化鈉標準滴定溶液的體積, 單位為毫升(m L ) ;
c— — —氫氧化鈉標準滴定溶液的濃度, 單位為摩爾每升( m o l / L ) ;
0. 0 6 40 4 — — —與1. 0 0m L 氫氧化鈉[ c ( N a OH ) =1. 0 0 0m o l/ L ]相當的以克表示的無水檸檬酸的克數;
m— — —試樣質量, 單位為克(g) ;
0. 0 8 57 0 — — —一水檸檬酸中水的理論含量, 即 1 8. 0 1 / 2 1 0. 1 4=0. 0 8 57 0。
試驗結果以平行測定結果的算術平均值為準, 保留1 位小數。
在重復性條件下獲得的兩次獨立測定結果的絕對差值不大于算術平均值的 0.2% 。
5 水分的測定
按G B5 0 0 9.3 使用卡爾費休水分儀用卡爾·費休法測定。其中稱樣量一水檸檬酸 0. 1g 、 無水檸檬酸取 1g ; 無水甲醇2 0m L 。在重復性條件下獲得的兩次獨立測定結果, 無水檸檬酸的絕對差值不大于算術平均值的 5% ; 一水檸檬酸的絕對差值不大于算術平均值的 2% 。
6 易炭化物的測定
6. 1 試劑和材料
6. 1. 1 鹽酸溶液:吸取鹽酸 2 4m L , 稀釋至 10 0 0m L 。
6. 1. 2 硫酸溶液:c (12 H2 S O 4 ) =1m o l/ L 。
6. 1. 3 硫代硫酸鈉標準滴定溶液: c ( N a 2 S 2 O 3 ) =0. 1m o l/ L 。
6. 1. 4 過氧化氫溶液: 吸取 3 0% 過氧化氫 1 0m L , 加水稀釋至1 0 0m L 。
6. 1. 5 氫氧化鈉溶液: 3 0 0g / L 。
6. 1. 6 淀粉指示液:1 0g / L 。
6. 1. 7 黃色原液:c ( F e C l 3 · 6 H 2 O ) =4 6m g / m L 。
稱取三氯化鐵(F e C l 3 ·6 H 2 O ) 4 6g , 溶于約 9 0 0m L 鹽酸溶液中, 再用此鹽酸溶液稀釋至 10 0 0m L 。標定時, 用鹽酸溶液調整此黃色原液, 使其每毫升含 4 6m g 三氯化鐵( F e C l3 ·6 H 2 O ) 。溶液應避光保存, 現用現標定。
標定: 吸取新配制的三氯化鐵溶液 1 0m L , 加入水 1 5m L 、 碘化鉀 4g 和鹽酸溶液5mL , 立即塞上
瓶蓋避光靜置 1 5m i n , 加入水1 0 0m L , 析出的碘用硫代硫酸鈉標準滴定溶液滴定至淺黃色, 加淀粉指示液 0.5m L , 繼續滴定至終點。
注:每毫升0.1m o l / L 硫代硫酸鈉標準滴定溶液相當于 2 7. 0 3m g 三氯化鐵( F e C l 3 ·6 H 2 O ) 。
6. 1. 8 紅色原液:c ( C o C l 2 · 6 H 2 O ) =5 9. 5m g / m L 。
稱取氯化鈷(C o C l 2 ·6 H 2 O ) 6 0g , 溶于約 9 0 0m L 鹽酸溶液中, 再用此鹽酸溶液稀釋至 10 0 0m L 。標定時用鹽酸溶液調整此紅色原液, 使其每毫升含 5 9.5m g 氯化鈷( C o C l2 · 6 H 2 O ) 。溶液應避光保存,現用現標定。
標定: 吸取新配制的氯化鈷溶液 5.0m L , 加入過氧化氫溶液 5m L 和氫氧化鈉溶液 1 0m L , 緩緩煮沸1 0m i n , 冷卻。再加碘化鉀 2g 、 硫酸溶液 6 0m L , 立即塞上瓶蓋, 輕輕搖動, 使沉淀溶解。用硫代硫酸鈉標準滴定溶液滴定至淺黃色, 加淀粉指示液 0.5m L , 繼續滴定至溶液呈粉紅色時為終點。
注:每毫升0.1m o l / L 硫代硫酸鈉標準滴定溶液相當于 2 3. 7 9m g 氯化鈷( C o C l 2 ·6 H 2 O ) 。
6. 1. 9 色澤限度標準溶液: 將黃色原液和紅色原液按 9∶1( 體積比) 混合。
6. 2 分析步驟
稱取試樣 0.7 5g 于2 5m L 具塞比色管中, 加入硫酸1 0m L, 在 9 0℃±1℃ 水浴中加熱 1m i n 后迅速振搖均勻, 繼續在9 0℃±1℃ 水浴中加熱 1h , 取出,迅速用冰水冷卻。緩緩倒入 1c m 比色皿中, 以水為空白,在波長 5 0 0n m 下測定吸光度為 A ; 將色澤限度標準溶液緩緩倒入 1c m 比色皿中, 測得的吸光度為 A 1 。
6. 3 結果計算
易炭化物以吸光度比值 K 表示,按式計算:
K= A/A 1
式中:
A— — —試樣溶液的吸光度值;
A 1 — — —標準溶液的吸光度值。
試驗結果以平行測定結果的算術平均值為準, 保留1 位小數。
在重復性條件下獲得的兩次獨立測定結果的絕對差值不大于算術平均值的 5% 。
7 硫酸灰分的測定
7. 1 方法提要
試樣經灼燒后, 加硫酸把殘留物轉變成硫酸鹽, 高溫下灼燒至質量恒定, 即可計算出試樣中硫酸灰分的值。
7. 2 儀器和設備
7. 2. 1 干燥器(變色硅膠作干燥劑) 。
7. 2. 2 高溫爐/電爐。
7. 3 試劑和材料
硫酸。
7. 4 分析步驟
稱取試樣 2g , 用電子分析天平精確至 0.0001g , 置于已質量恒定的石英或鉑坩堝內, 緩緩灼燒至完全炭化。放冷,加硫酸 0.5m L~1. 0m L 使其濕潤, 于電爐上徐徐加熱至硫酸煙霧除盡后, 在 7 0 0 ℃~8 0 0℃ 高溫爐中灼燒至完全灰化。取出, 置于干燥器內冷卻, 稱量, 再于7 0 0℃~8 0 0℃ 灼燒, 直至質量恒定。
7. 5 計算
硫酸灰分的質量分數 w 3 計算公式:

式中:
m 1 — — —灼燒后坩堝和灰分的質量, 單位為克( g ) ;
m 0 — — —質量恒定后坩堝的質量, 單位為克( g ) ;
m — — —試樣的質量, 單位為克( g ) 。
試驗結果以平行測定結果的算術平均值為準, 保留2 位小數。
在重復性條件下獲得的兩次獨立測定結果的絕對差值不大于 0.0 0 5% 。
8 硫酸鹽的測定
8. 1 方法提要
在酸性條件下, 檸檬酸溶液中的硫酸根離子與氯化鋇溶液生成硫酸鋇沉淀, 與同法處理的標準溶液比較, 做限量試驗。
8. 2 試劑和材料
8. 2. 1 鹽酸溶液:6m o l/ L 。吸取鹽酸 5 4m L , 稀釋至 1 0 0m L 。
8. 2. 2 氯化鋇溶液:2 5 0g / L 。
8. 2. 3 乙酸溶液:量取 乙酸2 9 8m L , 稀釋至 10 0 0m L 。
8. 2. 4 乙醇溶液:量取無水乙醇 3 0 0m L , 用水稀釋至 10 0 0m L 。
8. 2. 5 硫酸鹽標準儲備液: c ( S O 4 ) =0. 1g / L 。
8. 2. 6 硫酸鹽標準溶液 Ⅰ : c ( S O 4 ) =0. 0 1g / L 。吸取硫酸鹽標準儲備液 1 0m L , 用乙醇溶液稀釋至1 0 0m L 。
8. 2. 7 硫酸鹽標準溶液 Ⅱ : c ( S O 4 ) =0. 0 1 5g / L 。吸取硫酸鹽標準儲備液 1 5m L , 用乙醇溶液稀釋至1 0 0m L 。
8. 3 分析步驟
稱取試樣 1g , 精確到0.0 1g , 即用百分之一電子天平,置于 5 0m L 具塞比色管中, 加水 1 5m L 溶解, 加入氯化鋇溶液 1m L,硫酸鹽標準溶液 1m L , 振搖, 靜置1m i n , 加入鹽酸溶液 1m L 和乙酸溶液 0.5m L , 搖勻,靜置 5m i n 。
吸取硫酸鹽標準溶液 1 0m L 于5 0m L 具塞比色管中, 加入水5m L , 從“ 加入氯化鋇溶液 1m L ” 開始與試樣同樣處理。試樣管的濁度不得深于標準管。
注:無水檸檬酸用硫酸鹽標準溶液Ⅰ ; 一水檸檬酸用硫酸鹽標準溶液Ⅱ 。
9 氯化物的測定
9. 1 方法提要
在酸性條件下, 檸檬酸溶液中的氯離子與硝酸銀溶液生成白色氯化銀沉淀, 與同法處理的標準溶液比較, 做限量試驗。
9. 2 試劑和材料
9. 2. 1 硝酸溶液:量取硝酸 1 5 0m L , 稀釋至 10 0 0m L 。
9. 2. 2 硝酸銀溶液:c ( A g NO 3 ) =0. 1m o l/ L 。稱取硝酸銀 1.7g , 溶于水, 稀釋至1 0 0m L , 貯存于棕色瓶。
9. 2. 3 氯化物標準溶液: c ( C l ) = 0. 0 0 5g / L 。吸取0. 1g / L 氯化物標準溶液 5m L , 加水稀釋至1 0 0m L 。
9. 3 分析步驟
稱取試樣1g , 精確到0.0 0 01g , 置于 2 5m L 具塞比色管中, 加水1 5m L 溶解, 加硝酸溶液1m L , 立即加入硝酸銀溶液 1m L , 避光靜置 2m i n 。吸取氯化物標準溶液 1 0m L , 加水 5m L , 從“ 加硝酸溶液1m L ” 開始與試樣同樣處理。試樣的濁度不得深于標準管。
1 0 草酸鹽的測定
1 0. 1 方法提要
在酸性介質中鋅與草酸的還原反應, 生成的乙醛酸與鹽酸苯肼反應生成乙醛酸苯腙, 而苯肼轉化為重氮鹽后與乙醛酸苯腙反應生成粉紅色偶氮化合物, 與同法處理的標準溶液比較, 做限量試驗。
1 0. 2 試劑和材料
1 0. 2. 1 鹽酸。
1 0. 2. 2 鋅粒。
1 0. 2. 3 鹽酸苯肼溶液: 1 0g / L 。
1 0. 2. 4 鐵氰化鉀溶液: 5 0g / L 。
1 0. 2. 5 草酸標準溶液: 0. 0 1g / L 。稱取草酸( C 2 H 2 O 4 · 2 H 2 O ) 0. 1 7 5g , 用水溶解并稀釋至 5 0 0m L 。吸取該溶液 4m L , 用水稀釋至 1 0 0m L 。
1 0. 3 分析步驟
稱取試樣 0.4g ( 精確到0.0 1g ) 于 2 5m L 具塞比色管中, 加入水4m L、 鹽酸3m L 及鋅粒 1g , 煮沸1m i n , 放置2m i n , 移入盛有 0. 2 5m L 鹽酸苯肼溶液的試管中, 加熱至沸,迅速冷卻, 倒入2 5m L 具塞比色管內, 加入等體積鹽酸和鐵氰化鉀溶液 0.2 5m L , 振搖, 放置3 0m i n 。取草酸標準溶液 4m L , 從“ 鹽酸3m L 及鋅粒 1g ” 開始與試樣同樣處理。試樣管產生的粉紅色不應深于標準管。
1 1 鈣鹽的測定
1 1. 1 方法提要
在乙酸介質中, 微量鈣離子與草酸根離子生成難溶的草酸鈣懸浮體, 與同法處理的標準溶液比較,做限量試驗。
1 1. 2 試劑和材料
1 1. 2. 1 乙酸溶液:2m o l/ L 。量取冰乙酸 1 1 8m L , 用水稀釋至 10 0 0m L 。
1 1. 2. 2 草酸銨溶液:4 0g / L 。
1 1. 2. 3 鈣標準溶液:c ( C a ) =0. 0 1g / L 。稱取于1 0 5 ℃~1 1 0 ℃ 烘至質量恒定的碳酸鈣 2. 5g , 加入6m o l/ L 乙酸(量取冰乙酸 3 5 4m L , 用水稀釋至 10 0 0m L ) 1 2m L 溶解, 加水稀釋至10 0 0m L 。吸取該溶液 1m L , 加水稀釋至 1 0 0m L 。
1 1. 3 分析步驟
稱取試樣 0.5g ( 精確至0.0 1g ) , 置于 2 5m L 比色管中, 加水1 5m L 溶解加入草酸銨溶液 1m L和乙酸溶液 1m L , 搖勻,放置 1 5m i n 。取鈣標準溶液 1 0m L 于2 5m L 比色管中, 加水5mL , 從“ 加入草酸銨溶液 1m L ” 開始與試樣同樣處理。試樣管的濁度不應深于標準管。

