一、方案簡介
醬油的生產主要以大豆、面粉為主要原料,通過添加相關微生物以及酶的反應作用,從中提取生醬油,并通過一系列的加工消毒、沉淀、過濾,制成人們日常食用的醬油。
銨鹽是醬油中存在的非營養成分,降低銨鹽含量對于提升醬油風味具有重要意義。銨鹽來源主要有三個途徑:一是大豆蛋白質分解物;二是配兌醬油的添加劑帶入;三是廠家為了提高醬油全氮和氨基酸態氮含量,人為添加銨鹽。銨鹽含量超標,不僅影響醬油風味,還會對人們身體健康產生不良影響。故醬油中銨鹽含量的測定具有重要意義。
本文方案采用電位滴定法測定醬油中的銨鹽含量,該方法簡單、有效、準確且易于操作。

二、方案參考標準
GB5009.234-2016食品安全國家標準食品中銨鹽的測定
GB18186-2000釀造醬油(銨鹽的含量不得超過氨基酸態氮含量的30%)
三、所需儀器及試劑
儀器:雷磁ZDJ系列滴定儀(電位滴定)
試劑:1、0.1mol/L鹽酸標準滴定溶液(配制與標定參考文件M9107-2015)
2、氧化鎂
3、硼酸溶液(20g/L):稱取20.0g硼酸,加水溶解,定容至1000mL。
四、實驗過程
準確吸取2.0mL混勻試樣,置于500mL蒸餾瓶中,加150mL超純水及1g氧化鎂,加入幾顆玻璃珠。
連接好蒸餾裝置,并使冷凝管下端連接彎管伸入接收瓶液面下,吸收瓶內盛有10mL硼酸溶液,加熱蒸餾,溶液沸騰約30min即可,轉移至滴定杯中,用少量水沖洗彎管,置于自動滴定儀上,以鹽酸標準溶液[c(HCl)=0.10mol/L]滴定至終點。同時做空白試驗。
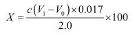
五、計算公式

其中:
X–醬油中銨鹽含量,單位為克每升(g/100mL);
c–鹽酸標準滴定溶液的濃度,單位為摩爾每升(mol/L);
V0–滴定空白消耗鹽酸標準滴定溶液的體積,單位為毫升(mL);
V1–滴定試樣消耗鹽酸標準滴定溶液的體積,單位為毫升(mL);
0.017–與1.00mL鹽酸標準滴定液c(HCl)=0.100mol/L相當的銨鹽(以氨計)的質量,單位為克(g);
2.0–試樣取樣量,單位為毫升(mL)。
(內容參考雷磁網)
相關閱讀:

