一、方案簡介
氯是人體必需常量元素之一,是維持體液和電解質平衡中所必需的,也是胃液的一種必需成分。自然界中常以氯化物形式存在,最普通形式是食鹽。氯在人體含量平均為 1.17g/kg,總量約為 82-100g,占體重的 0.15%,廣泛分布于全身。
腌制肉中食鹽含量較高,食用食鹽過多會產生口渴,必然大量飲水,水、鹽積聚在體內超過腎臟排泄能力,從而導致水腫。我們采用電位滴定法測定腌制肉中氯離子含量,可以有效的判斷正常的食用范圍。該方法簡單、有效、準確且易于操作。

二、所需儀器以及試劑
1.儀器:雷磁ZDJ系列滴定儀(電位滴定)、萬分之一電子天平(感量0.1mg)、粉碎機、常用玻璃儀器
電極:216 銀電極、217-01雙鹽橋參比電極
2.試劑:0.1mol/L 硝酸銀標準滴定溶液(配制與標定參考文件 M9109-2015)
硝酸溶液(1+3)
丙酮
三、實驗過程
1.樣品處理
取有代表性的樣品至少 200g,用粉碎機粉碎或用研缽研細,置于密閉的玻璃容器內。稱取玻璃容器中的試樣 5g(精確至 0.1mg),置于瓷坩堝中,小火炭化完全,炭化成分用玻璃棒輕輕研碎,然后加 25mL~30mL 水,小火煮沸,冷卻,過濾于100mL 容量瓶中,并用熱水少量多次洗滌殘渣及濾器,洗液并入容量瓶中,冷至室溫,加水至刻度,取部分濾液測定。
移取 10.00mL 試液,于 50mL 滴定杯中,加入 5mL 硝酸溶液和 25mL 丙酮。充分混勻,將滴定杯置于自動滴定儀上。同時做空白試驗。
2.儀器測定
a)將電極架置于滴定杯上方,放置好測量電極、參比電極以及加液管。
b)打開儀器,連接 216 銀電極至測量電極接口,連接 217-01 甘汞參比電極至參比電極接口。
c)將取液管連接到硝酸銀標準滴定溶液中,使用儀器清洗按鍵,清洗三次,清洗液接至廢液杯中。
d)點擊開始方法滴定,選擇動態滴定,設置參數。
e)點擊開始測定,等待儀器自動檢測。
f)分析結束,儀器顯示結論,自動保存圖譜及數據。
g)如不再測定,使用清洗按鍵,輸液管連接純水,清洗三次
h)關閉儀器,將測量電極清洗干凈后干放,參比電極套上保護套。

四、計算公式
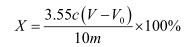
![]()
X –樣品中氯化物含量的數值(以 Cl-)(%);
c –硝酸銀標準滴定溶液實際濃度的數值,單位為摩爾每升(mol/L);
V–滴定試樣消耗硝酸銀標準滴定溶液體積的數值,單位為毫升(mL);
V0–滴定空白消耗硝酸銀標準滴定溶液體積的數值,單位為毫升(mL);
10 –用于滴定的濾液體積的數值,單位為毫升(mL);
m –樣品的取樣量,單位為克(g)。
五、注意事項
1)測量開始前,將 217-01 雙鹽橋甘汞參比電極的外鹽橋溶液更換為飽和硝酸鉀溶液。
2)測量結束,及時清洗電極并將電極保護套套上。
六、依據標準
GB/T5009.44-2016食品安全國家標準食品中氯化物的測定
相關閱讀:

