一、應用背景
咸鴨蛋是以新鮮鴨蛋為主要原料經過腌制而成的再制蛋,營養豐富,富含脂肪、蛋白質及人體所需的各種氨基酸、鈣、磷、鐵、各種微量元素、維生素等,易被人體吸收,咸味適中,老少皆宜。咸鴨蛋是一種風味特殊、食用方便的再制蛋,是一種佐餐佳品。
咸鴨蛋中食鹽含量較高,食用食鹽過多會產生口渴,必然大量飲水,水、鹽積聚在體內超過腎臟排泄能力,從而導致水腫。
本文采用電位滴定法測定咸鴨蛋中食鹽含量,可以有效的判斷正常的食用范圍。該方法簡單、有效、準確且易于操作。
依據標準:GB/T 12457-2008 食品中氯化鈉的測定

二、配套儀器以及試劑
電極:216銀電極、217-01雙鹽橋參比電極
試劑:0.02mol/L 硝酸銀標準滴定溶液(配制與標定參考文件 M9109-2015)
沉淀劑Ⅰ:稱取106g亞鐵氰化鉀,溶于水中,轉移到1000mL容量瓶中,用水稀釋至刻度。
沉淀劑Ⅱ:稱取220g乙酸鋅,溶于水中,并加入30mL冰乙酸,轉移到1000mL容量瓶中,用水稀釋至刻度。
硝酸溶液(1+3)
丙酮
三、實驗過程
1、樣品制備
取一枚咸鴨蛋敲碎去殼放入食品粉碎機中,打開機器接通電源工作3min,蛋黃蛋液呈均勻稀糊狀。將粉碎好的蛋液倒出準確稱量質量m,加入100mL70攝氏度熱水,震蕩15min,取出,冷卻至室溫,依次加入4mL沉淀劑Ⅰ和4mL沉淀劑Ⅱ。每次加入后充分搖勻,在室溫靜置 30min。將錐形瓶中的內容物全部轉移到500mL容量瓶中,用水稀釋至刻度定容,搖勻。用濾紙過濾,棄去最初部分濾液。
吸取10mL試液于滴定杯中,加入7mL硝酸溶液(1+3)及50mL丙酮。滴定杯置于自動滴定儀上。同時做空白試驗。
2、儀器測量
a)將電極架置于滴定杯上方,放置好測量電極、參比電極以及加液管。
b)打開儀器,連接216銀電極至測量電極接口,連接217--01甘汞參比電極至參比電極接口。
c)將取液管連接到硝酸銀標準滴定溶液中,使用儀器清洗按鍵,清洗三次,清洗液接至廢液杯中。
d)點擊開始方法滴定,選擇動態滴定,設置參數。
e)點擊開始測定,等待儀器自動檢測。
f)分析結束,儀器顯示結論,自動保存圖譜及數據。
g)如不再測定,使用清洗按鍵,輸液管連接純水,清洗三次
h)關閉儀器,將測量電極清洗干凈后干放,參比電極套上保護套。

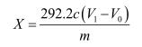
四、計算公式

其中,X –咸鴨蛋中食鹽含量的數值,單位為克每百克(g/100g);
V– 試樣滴定消耗硝酸銀標準滴定溶液體積的數值,單位為毫升(mL);
c – 硝酸銀標準滴定溶液的濃度的數值,單位為摩爾每升(mol/L);
m –樣品取樣的數值,單位為克(g)。
五、注意事項
1)測量開始前,將 217-01 雙鹽橋甘汞參比電極的外鹽橋溶液更換為飽和硝酸鉀溶液。
2)測量結束,及時清洗電極并將電極保護套套上。
(內容來源雷磁網)
相關閱讀:

