一、過期標準物質的使用
有時候,某些特殊的原因(比如之前的標準物質不再生產),實驗室必須使用臨近失效或已過使用有效期仍將使用標物。
這個時候我們需要對標物的特征量值重新驗證,證實其是否保持校準狀態的置信度。
二、過期標準物質量值核查方法
量值的重新驗證是一項較為困難的工作。實驗室應如何選擇行之有效的檢測標準來對標物實施核查呢?有以下幾種方法:
1、基準方法
在化學測量領域,基準方法是一種具有最高計量特征的方法,基準直接法測量未知樣的值不需要用同量的標準作參照,以下是幾種確定了的潛在的基準測量方法:
(1)同位素稀釋質譜法;
(2)庫侖法;
(3)稱量法;
(4)滴定法;
(5)凝固點降低法。
稱量法廣泛用于溶液及混合氣體的制備,凝固點降低法用作直接法測定材料的純度(物質的量的分數),同位素稀釋質譜法廣泛用于材料定值及其它高質量的測定。
2、根據有證標準物質的說明書來對其核查
某些標物說明書中已提供了其定值方法,比如煤炭的熱值、灰分,鐵礦石里的全鐵含量。由于煤的熱值的定值方法為唯一的燃燒測量法,煤灰分的經典的重量法,鐵礦石的全鐵含量為重鉻酸鉀滴定法,銅礦石的銅項目可用稱量法或AAS等。所以,實驗室可以參考此類方法對標準物質進行核查。
在資源允許的情況下,進行高等級的驗證。
三、標準物質量值核查結果的評定
如何根據實驗的結果來評價標準物質測量值,是否處在置信區間,我們必須依據數理統計理論來對其測試結果作出合理的評定。
1、用t檢驗法對量值進行期間核查
t檢驗法適用于樣本容量較小、樣本方差沒有顯著性差異的兩組數據的比較檢驗。t檢驗法有三種,分別適用于不同類型和不同目的的統計檢驗,見表1。
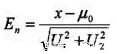
2、En數法
按公式計算En值:
式中:
x—標準物質核查結果;
μ0—標準物質保證值;
U1—標準物質核查測量擴展不確定度;
U2—標準物質證書給定的擴展不確定度。
U1和U2的置信水平為95%。部分標準物質證書給定的是允許差,而非擴展不確定度。
En數法判定準則如下:若,En≤1則判定結果為滿意(表明標準物質校準狀態的置信度得到保持),否則判定為不滿意。
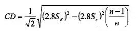
3、按臨界值(CD值)判定
如果用于該檢測的標準方法可以提供可靠的重復性標準偏差Sr和再現性標準偏差SR,則可用臨界值(CD值)對標準物質核查結果進行判定。
按下式計算CD值:

該方法的判定準則如下:若標準物質在重復條件下n次測定的平均值x與保證值μ0之差的絕對值小于臨界值CD值,則該測定結果為滿意(表明標準物質校準狀態的置信度得到保持),否則判定為不滿意。
4、按專業標準方法規定評定
在En值及CD值均不可獲得時,如相應專業標準規定了測試結果的允許差,可按標準規定判定。按下式計算Z值:
Z=(x-μ0)/△
式中:
x—標準物質核查n次測定均值;
μ0—標準物質保證值;
△—變動性的適當的估計量/度量值,標準中規定的允許差。
該方法的判定準則如下:若,Z≤1則判定核查結果為滿意(表明標準物質校準狀態的置信度得到保持),否則判定為不滿意。
(內容來源實驗室ISO17025)
相關閱讀:

