一、工作原理
金屬銻電極是一種氧化還原電極,當金屬銻表面與被測溶液接觸后,表面被氧化生成Sb2O3,金屬銻與氧化物之間的電位差取決于Sb2O3的濃度,而Sb2O3的濃度與溶液中的氫離子濃度有關,因此,可以通過測量銻—三氧化二銻之間的電位差來測量溶液的pH值,其化學反應如下:
從以上化學反應中知道,要能連續測量溶液的pH值,應隨時對與被測溶液接觸的金屬銻電極表面的污垢和氧化物進行清洗,以保持金屬銻電極的新鮮表面,滿足純銻表面與被測溶液接觸,從而再形成一層新的Sb2O3薄面,如此周而復始,以保持溶液pH值的測量精度及可靠性。
二、電極特性
金屬銻電極制造簡單,響應快,便于在線測量,在含有氰化物、硫化物、還原性糖、生物堿、含水酒精溶液中也可應用,缺點是金屬銻電極的測量精度不高,當pH在2~7之間時,其線性在±0.01pH之內,pH=7~12則偏差達0.4~0.5pH。
金屬銻電極pH-mV在堿性溶液中斜率不同,即轉換系數線性差。pH-mV轉換溫度系數不是常數,且呈非線性關系,表1-1給出了金屬銻電極在3種標準緩沖溶液中的pH-mV轉換特性及該特性與溶液溫度的關系(該數據范圍主要是針對油田污水而列出的)。
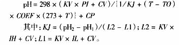
金屬銻電極在堿性溶液中測量誤差較大,而且隨溫度增加,測量誤差增大。研究表明,這主要是由于Sb2O3電位受溫度影響較大,而且在不同溫度下影響程度不一樣。因此,不僅需要對溫度進行補償,還需要對溫度變化系數進行補償。由于金屬銻電極具有很強的溫度效應且沒有固定的理論公式,所以用計算機進行數據處理時,力求通過各種補償方式來盡量準確地反映真實值,用能斯特公式計算后,配合溫度的補償,可以比較容易地得出溶液的pH值。
COEF為隨溫度變化的補償系數,根據表1-1,COEF的取值見表1-2。



